Antwort schreiben 
Leseverständnis üben mit Schulaufgaben
Verfasser Nachricht
harerod


Beiträge: 767
Beitrag #1
Leseverständnis üben mit Schulaufgaben
Euch allen ein gutes, gesundes und vielleicht auch etwas friedvolleres 2024!

Das etwas anstrengende Jahr 2023 hat für uns doch noch einen positiven Ausgang gefunden - alle haben hier den aktuellen Coronatest mit zwei Strichen absolviert. Ihr wisst ja wie das ist - nach tagelangem Rumliegen zum Aufstehen zu schwach, zum Schlafen zu munter. Also muss Abwechslung her. In meinem Fall lasse ich mir den "Wind der guten Fragen" durch den Kopf wehen. Wie der Name unschwer vermuten lässt, handelt es sich um eine ältere Ausgabe einer Aufgabesammlung von Physikaufgaben, die an japanischen technischen Hochschulen im Rahmen der Aufnahmeprüfung zu erwarten sind.

2013er Ausgabe, neue Version von Oktober 2023 verfügbar:
https://www.amazon.co.jp/%E8%89%AF%E5%95...477721365X

Nach meiner Erfahrung haben Schüler mit Textaufgaben oft Probleme. Was ich in dem Heft bisher gesehen habe, ist aber deutlich klarer formuliert, als so manches gruselige Beispiel was ich aktuell in den Schulbüchern meiner Nichten sehe.

Allerdings gilt auch für vorliegende Aufgabensammlung, dass die Aufgabenstellung gründlich und genau gelesen werden will. Als Japanischlerner sieht man nicht nur einen einfachen Grundwortschatz "Gymnasialphysik", sondern muss auch GENAU auf Formulierungen und Grammatik achten.

Nun will ich Euch nicht länger auf die Folter spannen, sondern eine Beispielaufgabe zeigen. Sie kommt aus dem Bereich "Mechanik", spielt am Wasser und erinnert verdächtig an das Problem das jeder Pilot kennt, wenn er bei starkem Wind seinen Spritbedarf berechnen muss. Als ich noch geflogen bin, hatte ich für das Thema einen speziellen Zirkularrechenschieber. Damit wäre die Lösung noch schneller gegangen.

Erstes Bild: Aufgabe    
Zweites Bild: LÖSUNG - meine Notizen    
Drittes Bild: OFFIZIELLE Lösung    

Edit: (gekürzt)
(Dieser Beitrag wurde zuletzt bearbeitet: 02.01.24 00:45 von harerod.)
01.01.24 23:19
Webseite des Benutzers besuchen Alle Beiträge dieses Benutzers finden Diese Nachricht in einer Antwort zitieren
vdrummer


Beiträge: 1.536
Beitrag #2
RE: Leseverständnis üben mit Schulaufgaben
Das ist in zweierlei Hinsicht ein sehr passender Beitrag.

1. saß ich gestern zu der Zeit des Beitrages auch an einer Mathe-Aufgabe, allerdings aus dem Bereich "Automaten und formale Sprachen". Da das allerdings ein englisches Buch war, spare ich es mir, hier die Aufgabe zu zitieren zwinker

2. ist ja in gut 2 Wochen der 大学入学共通テスト (kurz 共テ; der Nachfolger des センター試験). Dieses Jahr habe ich mich dazu überreden lassen, in den Bereichen 現代文 und ドイツ語 gegen einen Japaner anzutreten (die Aufgaben und Lösungen gibt es kurz nach dem eigentlichen Test im Netz). Das Ganze allerdings ノー勉, also ohne dafür explizit zu lernen. Ich bin gespannt, wie ich abschneiden werde und werde die nächste Zeit einfach viel Japanisch lesen.

Generell sind solche Schulaufgaben eine gute Möglichkeit, um (sogar interaktiv) entsprechendes Fachvokabular zu lernen. Gerade bei 高校- und 大学入試 finden sich viele Aufgaben zum Üben in Büchern und im Netz.
02.01.24 13:08
Alle Beiträge dieses Benutzers finden Diese Nachricht in einer Antwort zitieren
harerod


Beiträge: 767
Beitrag #3
RE: Leseverständnis üben mit Schulaufgaben
https://ja.wikipedia.org/wiki/%E5%A4%A7%...9%E3%83%88

大学入学共通テスト: wie und wo machst Du den Test?

Spontan sähe ich mich da ziemlich chancenbefreit. Wobei ich ohne intensive Vorbereitung auch kein deutsches Abi schaffen würde. Zum einen fehlten mir die auswendig zu lernenden Informationen, zum anderen die Übung mit den Aufgabeformaten.
Die von mir in Eingangspost beschriebenen Physikaufgaben erinnern mich halt witzigerweise genau an meine LK-Physik Abivorbereitung vor über dreißig Jahren.
02.01.24 23:30
Webseite des Benutzers besuchen Alle Beiträge dieses Benutzers finden Diese Nachricht in einer Antwort zitieren
vdrummer


Beiträge: 1.536
Beitrag #4
RE: Leseverständnis üben mit Schulaufgaben
(02.01.24 23:30)harerod schrieb:  大学入学共通テスト: wie und wo machst Du den Test?

Die großen japanischen Zeitungen veröffentlichen ziemlich schnell die Aufgaben als PDFs. Die kann man sich dann einfach ausdrucken.
Ich habe eben gerade mal geschaut und auch die offizielle Seite mit 過去問 gefunden. Könnte mir vorstellen, dass sie da auch relativ schnell veröffentlicht werden: https://www.dnc.ac.jp/kyotsu/kakomondai/

Zitat:Spontan sähe ich mich da ziemlich chancenbefreit. Wobei ich ohne intensive Vorbereitung auch kein deutsches Abi schaffen würde.

Der 共通テスト ist wie so ziemlich alle japanischen Tests Multiple Choice, also nicht so anspruchsvoll wie ein deutsches Abi. Zumindest was das Aufgabenformat angeht. Bei 国語 hat man neben 現代文 noch 古文 und 漢文 als Aufgabengebiete. Da ich da aber nicht den Hauch einer Chance habe, habe ich die gleich für mich ausgeschlossen hoho
03.01.24 07:40
Alle Beiträge dieses Benutzers finden Diese Nachricht in einer Antwort zitieren
cat


Beiträge: 1.441
Beitrag #5
RE: Leseverständnis üben mit Schulaufgaben
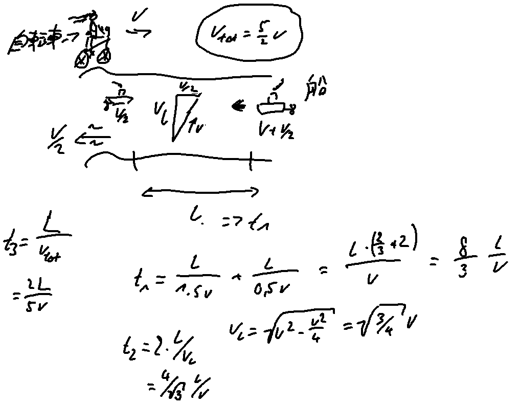
Boh, ich plage mich ja schon die Angabe zu verstehen. Der Anfang geht mit ein wenig Hilfe vom Wörterbuch ja noch, aber was es mit dem Fahrrad auf sich hat...
03.01.24 21:11
Alle Beiträge dieses Benutzers finden Diese Nachricht in einer Antwort zitieren
harerod


Beiträge: 767
Beitrag #6
RE: Leseverständnis üben mit Schulaufgaben
Cat - cool, dass Du mitspielst. Ist sicher mal ein eher untypischen Thema für Japanenthusiasten...

Das ist genau der Aspekt Leseverständnis auf den ich anspiele. Ich mache bei solchen Aufgaben gerne mal eine Skizze. Die Position und Richtung des Fahrrads sieht man in meiner Skizze ganz gut. Die Musterlösung begnügt sich alleine mit den "Vektoren".
("mach mal ein Maling" - Zitat, mein alter Fluglehrer)

Die Skizzen entstehen übrigens auf einem altem Wacom One 13 (gibt es neu wohl nicht mehr, jetzt zusätzlich mit Touch). Das Teil ist eigentlich primär für Computerkünstler gedacht. Ich verwende es nur am Laptop als Zweitbildschirm mit praktischer Kanjischreibmöglichkeit. Bild-Textvorlage auf Laptop-Hauptbildschirm, Tabletbildschirm rechts daneben - sehr praktisch, wenn man mit Rüsselpest im Bett liegt.

vdrummer - dann könnten wir die Aufgaben doch in ein paar Wochen hier mal ansprechen. Erinnere uns doch im Zweifelsfall bitte...
03.01.24 21:45
Webseite des Benutzers besuchen Alle Beiträge dieses Benutzers finden Diese Nachricht in einer Antwort zitieren
cat


Beiträge: 1.441
Beitrag #7
RE: Leseverständnis üben mit Schulaufgaben
Die Skizze habe ich mir absichtlich noch nicht angesehen um mich nicht zu spoilern...
Ich verstehe den letzten Satz nicht.
03.01.24 21:53
Alle Beiträge dieses Benutzers finden Diese Nachricht in einer Antwort zitieren
harerod


Beiträge: 767
Beitrag #8
RE: Leseverständnis üben mit Schulaufgaben
@cat: Meinen letzten Satz, oder den von der Aufgabe? Hättest Du gerne einen Hint in einem Spoiler?

* * *

Die folgende Aufgabe 5 ist eine einzige Wand von Text. Hier habe ich mal den Text als "Kanjilesungsdiktat" genommen und abgetippt. Der Inhalt hat soviele Wiederholungen, dass IME irgendwann ganze Phrasen vorschlagen kann. Interessantes Tippgefühl.
Dann stand ich erstmal da und habe mir die Grundlagen aus dem Kopf gesogen. Goldene Regel bei diesen Aufgaben: Wenn man nicht weiter weiß, nimmt man den Energieerhaltungssatz, und wenn der nichts hilft, den Impulserhaltungssatz.
An dem Ding habe ich länger geknobelt, als zugeben möchte. Entsprechend chaotisch sind meine Notizen. Die Rechnerei ginge komplett im Kopf. Allerdings habe ich für (4) einen Taschenrechner genommen.


Angehängte Datei(en) Thumbnail(s)
       
04.01.24 01:04
Webseite des Benutzers besuchen Alle Beiträge dieses Benutzers finden Diese Nachricht in einer Antwort zitieren
harerod


Beiträge: 767
Beitrag #9
RE: Leseverständnis üben mit Schulaufgaben
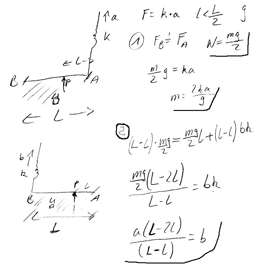
Mag mir jemand eine Frage zu Aufgabe 8 beantworten?

Vorgabe:
8 センター試験
長さLの一様でまっすぐな棒ABが、台に上にその一部がみだして置かれている。このとき、A端から長さlだけ離れた点Pが台の端に当たっている。棒のA端にばね定数kのばねをつけて鉛直上方に引っ張ると、ばねがaだけ伸びたとき点Pが台の端を離れた。ただし、台の上の面は十分にあらくて棒は台に対してすべらないとする。また、重力加速度をgとし、l<L/2とする。
(1) 棒の質量mを求めよ。また、点Pが台の端を離れるとき、棒が台から受ける量直てい抗力Nを求めよ。
(2) 次にばねをA端からはずし、B端につけかえて鉛直上方に引っ張ると、ばねがbだけ伸びたときにB端が台から離れた。bはaの何倍か。

Mir geht es um die grammatikalische Form von "求めよ". Die Bedeutung ist klar - "wird gefordert". Nun Frage ich mich allerdings ob sich um ein よ angehängt an das Nomen 求め handelt, oder eine Verbform (verkürzter Imperativ?: 求めろ ) mit angehängtem よ.

Bevor ich hier so langsam das ganze Buch als Scan reinsetze, verwende ich die abgetippte Aufgabe plus meine Skizze / Lösung.
       
11.01.24 19:37
Webseite des Benutzers besuchen Alle Beiträge dieses Benutzers finden Diese Nachricht in einer Antwort zitieren
梨ノ木


Beiträge: 599
Beitrag #10
RE: Leseverständnis üben mit Schulaufgaben
(11.01.24 19:37)harerod schrieb:  Mag mir jemand eine Frage zu Aufgabe 8 beantworten?

Mir geht es um die grammatikalische Form von "求めよ". Die Bedeutung ist klar - "wird gefordert". Nun Frage ich mich allerdings ob sich um ein よ angehängt an das Nomen 求め handelt, oder eine Verbform (verkürzter Imperativ?: 求めろ ) mit angehängtem よ.

Würde sagen, dass es sich dabei um die Verbform (Imperativ) handelt. Ein wichtiges Indiz dafür: 質量m求めよ・抗力N求めよ。

Beide Ausdrücke verwenden Nomen+を+x+よ. Für x ein Nomen einzusetzen, wäre für mein Empfinden ziemlich seltsam.

Es gibt zwar Konstruktionen Nomen+よ, aber die kenne ich eigentlich nur, wenn es um Personen geht: 友よ etc.
(Dieser Beitrag wurde zuletzt bearbeitet: 11.01.24 20:22 von 梨ノ木.)
11.01.24 20:22
Alle Beiträge dieses Benutzers finden Diese Nachricht in einer Antwort zitieren
Leseverständnis üben mit Schulaufgaben
Antwort schreiben 


Möglicherweise verwandte Themen...
Thema: Verfasser Antworten: Ansichten: Letzter Beitrag
Verbflexionen üben? Altan31200 3 3.445 21.08.21 14:46
Letzter Beitrag: AwesomeSepp
Spielerisch Japanisch üben Anonymer User 3 5.585 02.11.04 10:50
Letzter Beitrag: chika